早寝のブログ

はじめに
みなさん、高専入試お疲れ様です。
ご注意
・万が一、間違いを発見された場合はコメントにて報告ください。
2022高専入試問題・解説(数学)
大問1
基本的な問題の集合ですが、今年も配点が高かったです。
小門1

小門2

小門3

小門4

小門5

小門6

小門7

小門8

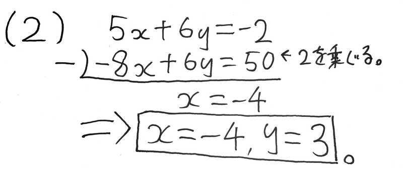
大問2
ここで時間を取られた人も多いと思います。
私はここで時間配分をミスりました。
小門1
※大きい直角三角形と長方形の中の直角三角形が相似です

小門2−1

小門2−2

小門3

小門4

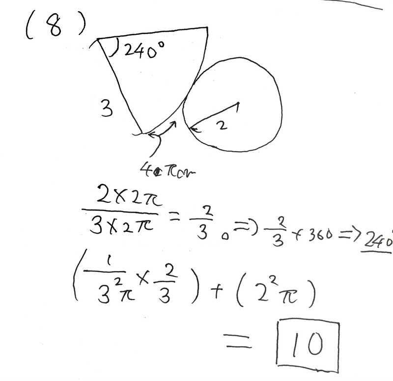
大問3
図形、苦手です
小門1

小門2

小門3
〜現在進行形で作成中〜
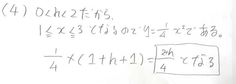
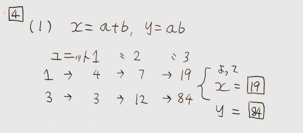
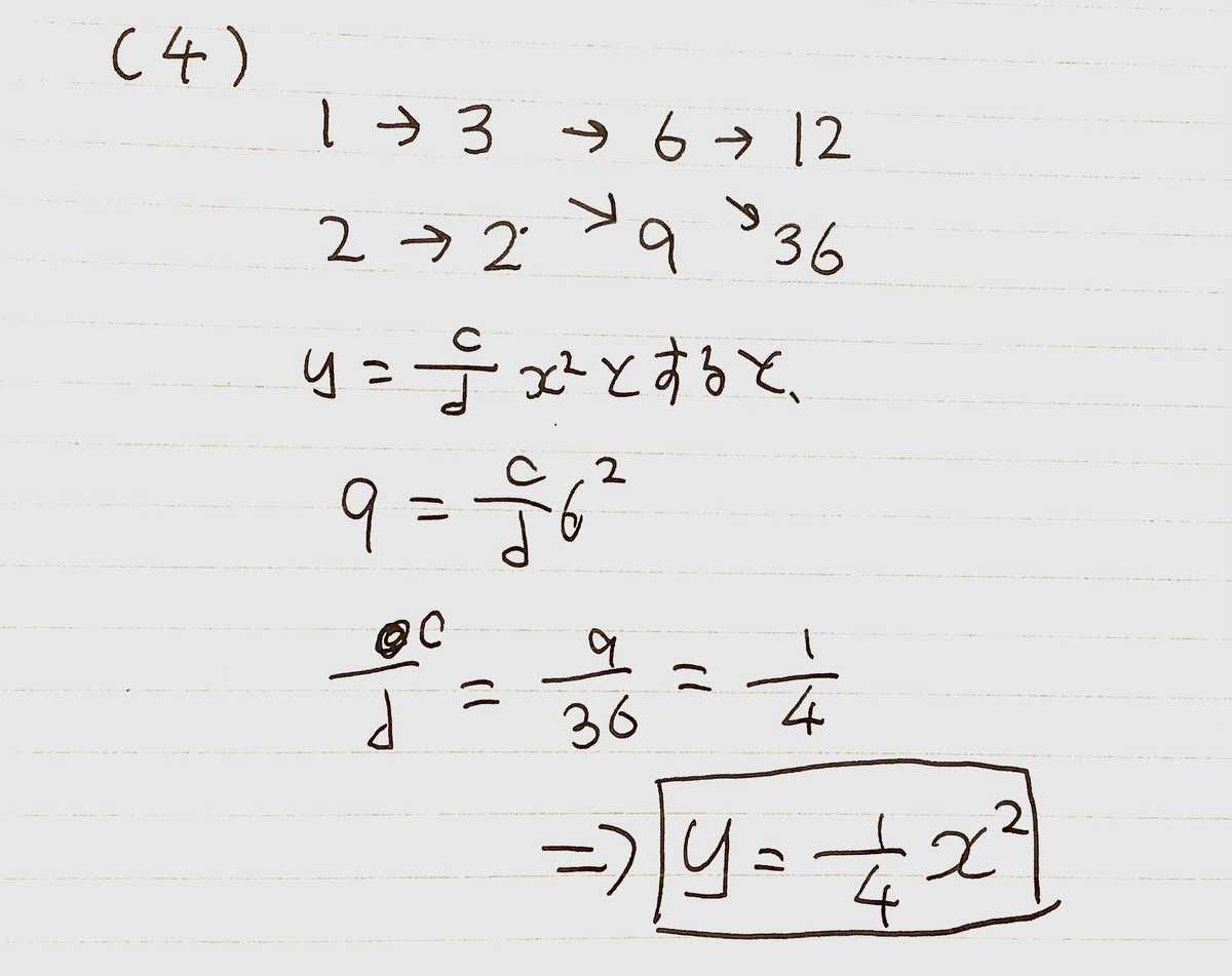
大問4
ラスボス登場!
小門1

小門2

小門3

小門4
